蓝氧技术的广泛应用,或将吹响行业变革新号角
蓝氧一词在近些年频繁被科研行业重点提及,它作为重点发展技术也逐步在各行各业开始试验应用。那么蓝氧到底是什么?又哪有作用呢?接下来就一起来好好了解下吧。
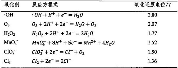
蓝氧即羟基自由基(•OH),是一种高氧化还原电位的强氧化剂,在液相中氧化还原电位为2.8eV,明显高于常见的强氧化剂,具有强氧化性和高活性。它能够与大多数有机污染物发生无选择性地快速链式反应,使之降解为小分子,直至矿化为水、二氧化碳和无机盐等。

与普通化学氧化相比,蓝氧氧化反应中产生的中间产物会继续和自由基发生反应,直至完全矿化,彻底反应。因此它能作用于杀菌、消毒、去除特殊污渍、降解水中游离色素等有机污染物,并且无二次污染。

目前,蓝氧制备方式以高级氧化技术为主,这也是目前研究和应用比较多的一种。该技术产生蓝氧的主要特点是能够在光、声、电、磁及高温高压等条件下,将难以降解的有机大分子物质氧化成为低毒或者无毒的小分子。而根据蓝氧产生方式以及反应条件的不同,又可将高级氧化技术分为光化学氧化、声化学氧化、臭氧氧化、湿式氧化、芬顿氧化、电化学氧化等多种方式。
基于蓝氧的氧化特性和多样的制备生产方式,众多行业看到了这项新技术应用和发展广阔前途。例如目前蓝氧已被广泛应用于市政污水处理领域,这项新技术加持下具有无水净化程度高、无二次污染等优点。我国部分城市包括北京等地已经采用蓝氧污水处理法,可以用于污水处理的各环节,其中包括预处理、污水深度处理和回用、零排放处理、污泥处理等。
虽然蓝氧的行业应用整体仍处于起步阶段,但其出众的杀菌去污能力已经获得了众多行业的肯定。例如在洗涤行业中,蓝氧已经被开始应用于洗衣机等产品之中,通过电催化技术和材料化学等技术可以稳定产生高浓度的羟基自由基,让蓝氧尽情释放在洗护的衣物之中。

而得益于蓝氧对于有机物的强氧化能力,能将洗涤衣物中大块有机污渍分解成小分子,再矿化为水、二氧化碳,完全去除大部分生活污渍;同时强氧化性还能破坏具有通透性功能的微生物膜,进而破坏微生物细胞,导致微生物的裂解、死亡,杀菌能力是氯气、紫外线的3000倍,不会有任何细菌残留,因此被称为目前最全面、最安全、最有效的杀菌剂。

另外能够降解水中游离色素的能力让蓝氧能够有效防止衣物之间的串色。当洗护的衣物掉色后,染料将会分散在水中,沾染到其他衣物,而蓝氧的加入则能让染料在水中分解,切断染料的迁移途径,使清洗的衣物保持清洁的同时依旧亮白如初。

经过以上内容的介绍,相信你也对蓝氧有了初步的认识,能够感受到它的目前行业中的具体应用。虽然污水处理等对于普通人感知并不强烈,但是随着蓝氧技术在洗涤行业的深入应用,相信在不久的将来你也会拥有一台具备蓝氧技术的洗护帮手,带来更为健康安全的洗护体验。
相关知识
吹响保护知识产权的号角,新特丽照明在行动!
美的&国美2021夏季新品发布,双美合璧大干100天 吹响40亿战斗号角
终极号角正式吹响 华耐家居攀登者进发南极
中标冰箱品类榜单,美的冰箱“换新风暴”第三季号角吹响
重磅丨终极号角正式吹响 华耐家居攀登者进发南极
首战即决战,一战定全年 | 这场誓师动员会吹响全国开门红征战号角!
为供应商备足“枪支弹药” 巴德士吹响年末旺季冲刺号角
二次污染迎来解决方案!TCL免污小蓝扣或将助推行业变革
奥普喜获人民日报新国货“最具爆款潜力奖”,实力吹响“中国智造”崛起号角
雷士照明吹响疫情拐点后的“市场升级战”号角
推荐资讯
- 1顾家家居37周年,家居电商的 72486
- 2小米电视卸载自带应用教程!手 71584
- 3灯塔组设计批评:光的背面 49430
- 4新中式设计,灰色调的空间,简 46504
- 5地暖机和壁挂炉有啥区别?装地 15256
- 6宝子们,看看这个意式极简风设 15240
- 7恭祝泰安文华里【武府】开工大 15212
- 8武汉新房甲醛治理,这些门道要 15145
- 9龙湖集团与蚂蚁集团达成战略合 13746
- 10大门向东属于什么宅?居家风水 13592